发表论文
2022年
123. Chenghao Li,‡ Shuxin Zhang,‡ Shan Li, Yu Feng * and Qing-Hua Fan,* "Ruthenium-catalyzed enantioselective hydrogenation of quinoxalinones and quinazolinones", Org. Chem. Front. 2022, 9, 400–406.

122. Shu-Xin Zhang, Cong Xu, Niannian Yi, Shan Li, Yan-Mei He, Yu Feng,* and Qing-Hua Fan,* "Ruthenium-Catalyzed Enantioselective Hydrogenation of 9-Phenanthrols", Angew. Chem. Int. Ed. 2022, 61, e202205739.

121. Faju Li, Linhong Long, Yan-Mei He, Zeyu Li, Hui Chen,* and Qing-Hua Fan,* "Manganese-Catalyzed Asymmetric Formal Hydroamination of Allylic Alcohols: A Remarkable Macrocyclic Ligand Effect", Angew. Chem. Int. Ed. 2022, 61, e202202972.

120. Yu-Ping Tang, Yi-Er Luo, Jun-Feng Xiang, Yan-Mei He,* and Qing-Hua Fan,* "Rhodium-Catalyzed ON-OFF Switchable Hydrogenation Using a Molecular Shuttle Based on a [2]Rotaxane with a Phosphine Ligand", Angew. Chem. Int. Ed. 2022, 61, e202200638.

2020年
119. Yier Luo, Guanghui Ouyang, Yuping Tang, Yan-Mei He,* and Qing-Hua Fan,* "Diaza-Crown Ether-Bridged Chiral Diphosphoramidite Ligands: Synthesis and Applications in Asymmetric Catalysis", J. Org. Chem. 2020, 85, 8176−8184.
118. Chenghao Li,§ Yixiao Pan,§ Yu Feng,* Yan-Mei He, Youran Liu, and Qing-Hua Fan,* "Asymmetric Ruthenium-Catalyzed Hydrogenation of Terpyridine Type N‑Heteroarenes: Direct Access to Chiral Tridentate Nitrogen Ligands", Org. Lett. 2020, 22, 6452−6457.

117. Li-Ren Wang, Dan Chang, Yu Feng,* Yan-Mei He, Guo-Jun Deng,* and Qing-Hua Fan*, "Highly Enantioselective Ruthenium-Catalyzed Cascade Double Reduction Strategy: Construction of Structurally Diverse Julolidines and Their Analogues", Org. Lett. 2020, 22, 2251−2255.

2019年
116. Shanshan Zhang, Fei Chen,* Yan-Mei He, and Qing-Hua Fan,* "Asymmetric Hydrogenation of Dibenzo[c,e]azepine Derivatives with Chiral Cationic Ruthenium Diamine Catalysts", Org. Lett. 2019, 21, 5538−5541.

115. Ya Chen, Yixiao Pan, Yan-Mei He,* and Qing-Hua Fan,* "Consecutive Intermolecular Reductive Amination/Asymmetric Hydrogenation: Facile Access to Sterically Tunable Chiral Vicinal Diamines and N-Heterocyclic Carbenes", Angew. Chem. Int. Ed. 2019, 58, 16831–16834.

114. Youran Liu, Fei Chen, Yan-Mei He, Chenghao Li, and Qing-Hua Fan,* "Enantioselective synthesis of tunable chiral pyridine–aminophosphine ligands and their applications in asymmetric hydrogenation", Org. Biomol. Chem. 2019, 17, 5099–5105.

113. Cong Xu, Yu Feng, Faju Li, Jiahong Han, Yan-Mei He, and Qing-Hua Fan,* "A Synthetic Route to Chiral Benzo-Fused N‑Heterocycles via Sequential Intramolecular Hydroamination and Asymmetric Hydrogenation of Anilino-Alkynes", Organometallic 2019, 38, 3979-3990.

112. Ya Chen, Yan-Mei He, Shanshan Zhang, Tingting Miao, and Qing-Hua Fan,* "Rapid Construction of Structurally Diverse Quinolizidines, Indolizidines, and Their Analogues via Ruthenium-Catalyzed Asymmetric Cascade Hydrogenation/Reductive Amination", Angew. Chem. Int. Ed. 2019, 58, 3809 –3813.

2018年
111. Bin Li, Cong Xu, Yan-Mei He, Guo-Jun Deng, and Qing-Hua Fan,* "Asymmetric Hydrogenation of Bis(quinolin-2-yl)methanes: A Direct Access to Chiral 1,3-Diamines", Chin. J. Chem. 2018, 36, 1169-1173.

110. Yuping Tang, Yanmei He, Yu Feng, and Qing-Hua Fan,* "Asymmetric Supramolecular Catalysis Based on Macrocyclic Host Molecules", Progress in Chemistry 2018, 30, 476-490.
2017年
109. Tingting Miao, Zi-You Tian, Yan-Mei He, Fei Chen, Ya Chen, Zhi-Xiang Yu,* and Qing-Hua Fan,* "Asymmetric Hydrogenation of In Situ Generated Isochromenylium Intermediates by Copper/Ruthenium Tandem Catalysis", Angew. Chem. Int. Ed. 2017, 56, 4135–4139.

108. Zhusheng Yang, Ziyuan Ding, Fei Chen,* Yan-Mei He, Nianfa Yang,* and Qing-Hua Fan,* "Asymmetric Hydrogenation of Cyclic Imines of Benzoazepines and Benzodiazepines with Chiral, Cationic Ruthenium–Diamine Catalysts", Eur. J. Org. Chem. 2017, 1973–1977.

107. Zhusheng Yang, Fei Chen,* Shuxin Zhang, Yanmei He, Nianfa Yang,* and Qing-Hua Fan,* "Ruthenium-Catalyzed Enantioselective Hydrogenation of Phenanthridine Derivatives", Org. Lett. 2017, 19, 1458−1461.

106. Yi Peng, Yu Feng,* Guo-Jun Deng, Yan-Mei He, and Qing-Hua Fan "From Weakness to Strength: C–H/π-Interaction-Guided Self-Assembly and Gelation of Poly(benzyl ether) Dendrimers", Langmuir 2016, 32, 9313–9320.

105. Yu Feng,* Hui Chen, Zhi-Xiong Liu, Yan-Mei He and Qing-Hua Fan, "A Pronounced Halogen Effect on the Organogelation Properties of Peripherally Halogen Functionalized Poly(benzyl ether) Dendrons", Chem. Eur. J. 2016, 22, 4980-4990.

104. Zhi-Xiong Liu, Yihua Sun, Yu Feng,* Hui Chen, Yan-Mei He and Qing-Hua Fan, "Halogen-bonding for visual chloride ion sensing: a case study using supramolecular poly(aryl ether) dendritic organogel systems", Chem. Commun. 2016, 52, 2269-2272.

2016年
103. Tianli Wang, Ya Chen, Guanghui Ouyang, Yan-Mei He,* ZhiyanLi and Qing-Hua Fan,* "Solvent-Regulated Asymmetric Hydrogenation of Quinoline Derivatives in Oligo(Ethylene Glycol)s through Host–Guest Interactions", Chem.Asian J. 2016, 11, 2773–2777.

102. Zhusheng Yang, Fei Chen,* Yanmei He, Nianfa Yang and Qing-Hua Fan,* "Highly Enantioselective Synthesis of Indolines: Asymmetric Hydrogenation at Ambient Temperature and Pressure with Cationic Ruthenium Diamine Catalysts", Angew. Chem. Int. Ed. 2016, 55,13863–13866.

101. Wenpeng Ma, Jianwei Zhang, Cong Xu, Fei Chen, Yan-Mei He and Qing-Hua Fan,* "Highly Enantioselective Direct Synthesis of Endocyclic Vicinal Diamines through Chiral Ru(diamine)-Catalyzed Hydrogenation of 2,2'-Bisquinoline Derivatives" Angew. Chem. Int. Ed. 2016, 55, 12891-12894.

100. Wenpeng Ma, Fei Chen, Youran Liu, Yan-Mei He, and Qing-Hua Fan,* "Ruthenium-Catalyzed Enantioselective Hydrogenation of 1,8-Naphthyridine Derivatives" Org. Lett. 2016, 18, 2730–2733.

99. Yi Peng, Yu Feng,* Guo-Jun Deng, Yan-Mei He, and Qing-Hua Fan "From Weakness to Strength: C–H/π-Interaction-Guided Self-Assembly and Gelation of Poly(benzyl ether) Dendrimers", Langmuir 2016, 32, 9313–9320.
98. Tianli Wang, Ya Chen, Guanghui Ouyang, Yan-Mei He,* ZhiyanLi and Qing-Hua Fan,* "Solvent-Regulated Asymmetric Hydrogenation of Quinoline Derivatives in Oligo(Ethylene Glycol)s through Host–Guest Interactions", Chem.Asian J. 2016, 11, 2773–2777.

2015年
97. Yan-Mei He, Qing-Hua Fan,* "Advances in Transfer Hydrogenation of Carbonyl Compounds in Water", ChemCatChem 2015, 7, 398-400.

96. Jianwei Zhang, Fei Chen, Yan-Mei He, Qing-Hua Fan,* "Asymmetric Ruthenium-Catalyzed Hydrogenation of 2,6-Disubstituted 1,5-Naphthyridines: Access to Chiral 1,5-Diaza-cis-Decalins", Angew. Chem. Int. Ed. 2015, 54, 4622-4625.

95. Fei Chen, Zi-Yuan Ding, Yan-Mei He, Qing-Hua Fan,* "Synthesis of Optically Active 1,2,3,4-Tetrahydroquinolines viaAsymmetric Hydrogenation Using Iridium-Diamine Catalyst", Org. Synth. 2015, 92, 213-226.

94. Fen Wu, Juan Jin, Liying Wang, Pengfei Sun, Huanxiang Yuan, Zhongqiang Yang, Guosong Chen, Qing-Hua Fan*, Dongsheng Liu*, "Functionalization of DNA-Dendron Supramolecular Fibers and Application in Regulation of Escherichia coli Association", ACS Appl. Mater. Interfaces 2015, 7, 7351−7356.

93. Fen Wu, Yongshun Song, Zhiyong Zhao, Shusheng Zhang, Zhongqiang Yang, Zhibo Li, Ming Li*, Qing-Hua Fan*, Dongsheng Liu*, "Preparation and Self-Assembly of Supramolecular Coil−Rod−Coil Triblock Copolymer PPO−dsDNA−PPO", Macromolecules 2015, 48, 7550−7556.

92. Fen Wu,Yiyang Zhang, Zhongqiang Yang*, "An Overview of Self-Assembly and Morphological Regulation of Amphiphilic DNA Organic Hybrids", Chin. J. Chem. 2015, 33, 511-516.

91. Hui Chen, Yu Feng*, Guo-Jun Deng, Zhi-Xiong Liu, Yan-Mei He, Qing-Hua Fan*, "Fluorescent Dendritic Organogels Based on 2-(2'-Hydroxyphenyl)benzoxazole: Emission Enhancement and Multiple Stimuli-Responsive Properties", Chem. Eur. J. 2015, 21, 11018–11028.

90.Guang-Hui Ouyang, Yan-Mei He, Yong Li, Jun-Feng Xiang, Qing-Hua Fan*, "Cation-Triggered Switchable Asymmetric Catalysis with Chiral Aza-CrownPhos", Angew. Chem. Int. Ed. 2015, 54, 4334-4337.

2014年
89. Zhusheng Yang, Fei Chen,* Yan-Mei He, Nianfa Yang,* Qing-Hua Fan,* "Efficient asymmetric hydrogenation of quinolines in neat water catalyzed by chiral cationic Ru-diamine complexes", Catal. Sci. Technol. 2014, 4, 2887-2890.

88. Jie Qin, Fei Chen, Yan-Mei He, Qing-Hua Fan,* "Asymmetric hydrogenation of 3-substituted 2H-1,4-benzoxazines with chiral cationic Ru-MsDPEN catalysts: remarkable counteranion effect", Org. Chem. Front. 2014, 1, 952-955.

87. Yong Li, Yanmei He, Fei Chen, Qinghua Fan,* "Asymmetric Hydrogenation of 2-Aryl-5,6-dihydropyrazine Derivatives with Chiral Cationic Ruthenium Diamine Catalysts", Chin. J. Chem. 2014, 32, 991-994.

86. Zhiyong Zhao, Chun Chen, Yuanchen Dong, Zhongqiang Yang, Qing-Hua Fan*, Dongsheng Liu*, "Thermally Triggered Frame-Guided Assembly", Angew. Chem. Int. Ed. 2014, 53, 13468-13470.

85. Yu Feng, Zhi-Xiong Liu, Hui Chen, Zhi-Chao Yan, Yan-Mei He,* Chen-Yang Liu, Qing-Hua Fan*, "A systematic study of peripherally multiple aromatic ester-functionalized poly(benzyl ether) dendrons for the fabrication of organogels: structure-property relationships and thixotropic property", Chem. Eur. J. 2014, 20, 7069-7082.

84. Yu Feng, Yan-Mei He, Qing-Hua Fan*, "Supramolecular organogels based on dendrons and dendrimers", Chem. Asian J. 2014, 9, 1724-1750 (Revited Focus Review).

83. Zhi-Xiong Liu, Yu Feng,* Zhi-Yong Zhao, Zhi-Chao Yan, Yan-Mei He, Xu-Jun Luo, Chen-Yang Liu and Qing-Hua Fan,* "A New Class of Dendritic Metallogels with Multiple Stimuli-Responsiveness and as Templates for the In Situ Synthesis of Silver Nanoparticles", Chem. Eur. J. 2014, 20, 533-541.

82. Baode Ma, Guojun Deng, Ji Liu, Yanmei He and Qing-Hua Fan,* "Synthesis of Dendritic BINAP Ligands and Their Applications in the Asymmetric Hydrogenation: Exploring the Relationship between Catalyst Structure and Catalytic Performance", Acta Chim. Sinica 2013, 71, 528-534.

81. Baode Ma, Ziyuan Ding, Ji Liu, Yanmei He and Qing-Hua Fan,* "Highly Enantioselective Hydrogenation of 2,4-Diaryl-1,5-Benzodiazepines Catalyzed by Dendritic Phosphinooxazoline Iridium Complexes", Chem. Asian J. 2013, 8, 1101-1104.

80. Yan-Mei He, Yu Feng, Qing-Hua Fan*, "Asymmetric hydrogenation in the core of dendrimers", Acc. Chem. Res. 2014, 47, 2894-2906.

79. Baode Ma, Tingting Miao, Yihua Sun, Yanmei He, Ji Liu, Yu Feng, Hui Chen,* Qing-Hua Fan*, "A new class of tunable dendritic diphosphine ligands: synthesis and applications in the ru-catalyzed asymmetric hydrogenation of functionalized ketones", Chem. Eur. J. 2014,20, 9969-9978.

78. Ji Liu, Baode Ma, Yu Feng, Yanmei He,* and Qing-Hua Fan,* "Dendritic [Rucl2(BINAP)(DPEN)] Catalysts with 'Sandwich' Multi-Layer Structure for Asymmetric Hydrogenation of Simple Aryl Ketones", Inorgan. Chim. Acta 2014, 409, 106-111.

77. Guang-Hui Ouyang, Yan-Mei He,* Qing-Hua Fan*, "Podand-Based Dimeric Chromium(III)–Salen Complex for Asymmetric Henry Reaction: Cooperative Catalysis Promoted by Complexation of Alkali Metal Ions", Chem. Eur. J. 2014, 20, 16454-16457 (hot papaer).

76. Feng-Tao Song, Guang-Hui Ouyang, Yong Li, Yan-Mei He*, Qing-Hua Fan*, "New metallacrown ether catalysts containing phosphine-phosphite polyether ligands for Rh-catalyzed asymmetric hydrogenation: enhancements in activity and enantioselectivity", Eur. J. Org. Chem.2014, 30, 6713-6719.

2013年
75. Zi-Yuan Ding, Tianli Wang, Yan-Mei He, Fei Chen, Hai-Feng Zhou, Qing-Hua Fan,* Qingxiang Guo,* and Albert S. C. Chan, "Highly Enantioselective Synthesis of Chiral Tetrahydroquinolines and Tetrahydroisoquinolines by Ruthenium-Catalyzed Asymmetric Hydrogenation in Ionic Liquid", Adv. Synth. Catal. 2013, 355, 3727-3735.

74. Tianli Wang, Fei Chen, Jie Qin, Yan-Mei He and Qing-Hua Fan,* "Asymmetric Ruthenium-Catalyzed Hydrogenation of 2- and 2,9-Substituted 1,10-Phenanthrolines", Angew. Chem. Int. Ed. 2013, 52, 7172-7176.

73. Zhiyong Zhao, Fen Wu, Zhongqiang Yang,* Dongsheng Liu and Qing-Hua Fan,* "Synthesis and Self-Assembly of DNA-Aliphatic Polyether Dendron Hybrids", Acta Chim. Sinica 2013, 71, 549-554.

72. Ji Liu, Yu Feng, Zhi-Xiong Liu, Zhi-Chao Yan, Yan-Mei He, Chen-Yang Liu and Qing-Hua Fan,* "N-Boc-Protected 1,2-Diphenylethylenediamine-Based Dendritic Organogels with Multiple-Stimulus-Responsive Properties", Chem. Asian J. 2013, 8, 572-581.

2012年
71. Fei Chen, Ziyuan Ding, Yanmei He, Jie Qin, Tianli Wang and Qing-Hua Fan,* "Asymmetric Hydrogenation of N-Alkyl and N-Aryl Ketimines using Chiral CationicRu(Diamine) Complexes as Catalysts: The Counteranion and Solvent Effects, and Substrate Scope", Tetrahedron 2012, 68, 5248-5257.

70. Zi-Yuan Ding, Fei Chen, Jie Qin, Yan-Mei He and Qing-Hua Fan,* "Asymmetric Hydrogenation of 2,4-Disubstituted 1,5-Benzodiazepines Using Cationic Ruthenium Diamine Catalysts: An Unusual Achiral Counteranion Induced Reversal of Enantioselectivity", Angew. Chem. Int. Ed. 2012, 51, 5706-5710.

69. Zhiyong Zhao, Liying Wang, Yu Liu, Zhongqiang Yang, Yan-Mei He, Zhibo Li, Qing-Hua Fan* and Dongsheng Liu,* "Ph-Induced Morphology-Shifting of DNA-b-Poly(Propylene Oxide) Assemblies", Chem. Commun. 2012, 48, 9753-9755.

68. Liying Wang, Yu Feng, Zhongqiang Yang, Yan-Mei He, Qing-Hua Fan* and Dongsheng Liu,* "Reversibly Controlled Morphology Transformation of An Amphiphilic DNA–Dendron Hybrid", Chem. Commun. 2012, 48, 3715-3717.

67. Zhi-Xiong Liu, Yu Feng, Zhi-Chao Yan, Yan-Mei He, Chen-Yang Liu and Qing-Hua Fan,* "Multistimuli Responsive Dendritic Organogels Based on Azobenzene-Containing Poly(aryl ether) Dendron", Chem. Mater. 2012, 24, 3751-3757.

66. Yu Feng, Zhixiong Liu, Liying Wang, Hui Chen, Yan-Mei He* and Qing-Hua Fan,* "Poly(Benzyl Ether) Dendrons without Conventional Gelation Motifs as A New Kind of Effective Organogelators", Chinese Sci. Bull. 2012, 57, 4289-4295.
65. Ji Liu, Yu Feng, Baode Ma, Yan-Mei He and Qing-Hua Fan,* "Design and Synthesis of Janus-Type Chiral Dendritic Diphosphanes and Their Applications in Asymmetric Hydrogenation", Eur. J. Org. Chem. 2012, 6737-6744.

64. Liwen Zhao, Ji Liu, Yu Feng, Yanmei He and Qing-Hua Fan,* "Facile Synthesis of Chiral Diphosphine-Containing Multiple Dendrimeric Catalysts for Enantioselective Hydrogenation", Chin. J. Chem. 2012, 30, 2009-2015.

63. Ji Liu, Yu Feng, Yanmei He, Nianfa Yang* and Qing-Hua Fan,* "Janus Dendritic Phosphines: Synthesis and Application in Suzuki Coupling Reactions", New J. Chem. 2012, 36, 380-385.

62. Lei Wu, Yan-Mei He and Qing-Hua Fan,* "Controlled Reversible Anchoring of ƞ6-Arene/TsDPEN Ruthenium(II) Complex onto Magnetic Nanoparticles: A New Strategy for Catalyst Separation and Recycling", Adv. Synth. Catal. 2011, 353, 2915-2919.

2011年
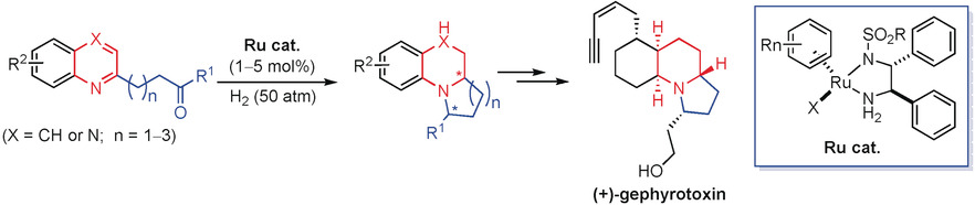
61. Jie Qin, Fei Chen, Ziyuan Ding, Yan-Mei He, Lijin Xu and Qing-Hua Fan,* "Asymmetric Hydrogenation of 2- and 2,3-Substituted Quinoxalines with Chiral Cationic Ruthenium Diamine Catalysts", Org. Lett. 2011, 13, 6568-6571. <Highlight by Synfacts 2012, 8, 191.>

60. Fei Chen, Ziyuan Ding, Jie Qin, Tianli Wang, Yanmei He and Qing-Hua Fan,* "Highly Effective Asymmetric Hydrogenation of Cyclic N-Alkyl Imines with Chiral Cationic Ru-MsDPEN Catalysts", Org. Lett, 2011, 13, 4348-4351. <Highlight by Synfacts 2011, 10, 1092.>

59. Tianli Wang, Lian-Gang Zhuo, Zhiwei Li, Fei Chen, Ziyuan Ding, Yanmei He, Qing-Hua Fan,* Junfeng Xiang, Zhi-Xiang Yu* and Albert S. C. Chan, "Highly Enantioselective Hydrogenation of Quinolines Using Phosphine-Free Chiral Cationic Ruthenium Catalysts: Scope, Mechanism, and Origin of Enantioselectivity", J. Am. Chem. Soc. 2011, 133, 9878-9891.

58. Tianli Wang, Guanghui Ouyang, Yan-Mei He and Qing-Hua Fan,* "Asymmetric Tandem Reduction of 2-(Aroylmethyl)quinolines with Phosphine-Free Ru-TsDPEN Catalyst", Synlett 2011, 7, 939-942.

57. Fei Chen, Tianli Wang, Yanmei He, Ziyuan Ding, Zhiwei Li, Lijin Xu and Qing-Hua Fan,* "Asymmetric Hydrogenation of N-Alkyl Ketimines with Phosphine-Free, Chiral, Cationic Ru-MsDPEN Catalysts", Chem. Eur. J. 2011, 17, 1109-1113. <Highlight by Synfacts 2011, 4, 420.>

56. Jin-Liang Lv, Zhi-Yong Zhao, Zhong-Qiang Yang, Dong-Sheng Liu* and Qing-Hua Fan,* "Synthesis of Dendritic Oligodeoxyribonucleotide Analogs with NonionicDiisopropylsilyl Linkage", Tetrahedron 2011, 67, 9080-9086.

55. Liying Wang, Yu Feng, Yawei Sun, Zhibo Li, Zhongqiang Yang, Yan-Mei He, Qing-Hua Fan* and Dongsheng Liu,* "Amphiphilic DNA-Dendron Hybrid: A New Building Block for Functional Assemblies", Soft Matter 2011, 7, 7187-7190.

2010年
54. Fei Chen, Zhiwei Li, Yanmei He and Qing-Hua Fan,* "Asymmetric Hydrogenation of Cyclic N-Sulfonylimines with Phosphine-Free Chiral Cationic Ru-MsDPEN Catalysts", Chin. J. Chem. 2010, 28, 1529-1532.

53. Yan-Mei He and Qing-Hua Fan,* "Phosphine-Free Chiral Metal Catalysts for Highly Effective Asymmetric Catalytic Hydrogenation", Org. Biomol. Chem. 2010, 8, 2497-2504.

52. Yawei Sun, Huajie Liu, Lijin Xu,Liying Wang, Qing-Hua Fan* and Dongsheng Liu,* "DNA Molecular Motor Controlled Dendron Association", Langmuir 2010, 26, 12496-12499.

51. Ping Chen, Yawei Sun, Huajie Liu, Lijin Xu,* Qinghua Fan and Dongsheng Liu,* "A ph Responsive Dendron-DNA-Protein Hybrid Supramolecular", Soft Matter 2010, 6, 2143-2145.

50. Qun Chen, Yu Feng, Deqing Zhang,* Guanxin Zhang, Qing-Hua Fan,* Shuna Sun and Daoben Zhu, "Light-Triggered Self-Assembly of A Spiropyran-Functionalized Dendron into Nano-/Micrometer-Sized Particles and Photoresponsive Organogel with Switchable Fluorescence", Adv. Funct. Mater. 2010, 20, 36-42.

49. Baode Ma and Qinghua Fan,* "Progress on Chiral Dendrimeric Phosphorous Ligands in Asymmetric Catalytic Hydrogenations", Sci. Sinica Chim. 2010, 40, 827-836.
48. Bing Yi,* Hua-Ping He and Qing-Hua Fan, "Synthesis and Application of Peripherally Alkyl-Functionalized Dendritic Pyrphos Ligands: Homogeneous-Supported Catalysts for Enantioselective Hydrogenation", J. Mol. Catal. A: Chem. 2010, 315, 82-85.

47. Yong Li, Baode Ma, Yanmei He, Feng Zhang and Qing-Hua Fan,* "Chiral Metallacrown Ethers for Asymmetric Hydrogenation: Alkali-Metal Ion Mediated Enhancement of Enantioselectivity", Chem. Asian J. 2010, 5, 2454-2458.

46. Yong Li,* Zhiling Wang, Yanmei He and Qinghua Fan, "Advance in Preparation and Application of Supramolecular Bidentate Phosphorus Ligands", Chinese J. Org. Chem. 2010, 30, 338-344.
2009年
45. Zhi-Jian Wang, Hai-Feng Zhou, Tian-Li Wang, Yan-Mei He and Qing-Hua Fan,* "Highly Enantioselective Hydrogenation of Quinolines under Solvent-Free or Highly Concentrated Conditions", Green Chem. 2009, 11, 767-769.

44. Enjun Cheng, Yongzheng Xing, Ping Chen, Yang Yang, Yawei Sun, Dejian Zhou,* Lijin Xu, Qinghua Fan and Dongsheng Liu,* "A pH-Triggered, Fast-Responding DNA Hydrogel", Angew. Chem. Int. Ed. 2009, 48, 7660-7663.

43. Yu Feng, Zi-Tong Liu, Ji Liu, Yan-Mei He,* Qi-Yu Zheng and Qing-Hua Fan,* "Peripherally Dimethyl Isophthalate-Functionalized Poly(benzyl ether) Dendrons: A New Kind of Unprecedented Highly Efficient Organogelators", J. Am. Chem. Soc. 2009, 131, 7950-7951.

42. Feng Zhang and Qing-Hua Fan,* "Synthesis and Application of Bulky Phosphoramidites: Highly Effective Monophosphorus Ligands for Asymmetric Hydrosilylation of Styrenes", Org. Biomol. Chem. 2009, 7, 4470-4474.

41. Yong Li, Yan-Mei He, Zhi-Wei Li, Feng Zhang and Qing-Hua Fan,* "Supramolecular Chiral Dendritic Monophosphites Assembled by Hydrogen Bonding and Their Use in The Rh-Catalyzed Asymmetric Hydrogenation", Org. Biomol. Chem. 2009, 7, 1890-1895.

2008年
40. Zhi-Wei Li, Tian-Li Wang, Yan-Mei He, Zhi-Jian Wang, Qing-Hua Fan,* Jie Pan and Li-Jin Xu,* "Air-Stable and Phosphine-Free Iridium Catalysts for Highly Enantioselective Hydrogenation of Quinoline Derivatives", Org. Lett. 2008, 10, 5265-5268. <Highlight by Synfacts 2009, 2, 174.>

39. Haifeng Zhou, Zhiwei Li, Zhijian Wang, Tianli Wang, Lijin Xu, Yanmei He, Qing-Hua Fan,* Jie Pan, Lianquan Gu and Albert S. C. Chan,* "Hydrogenation of Quinolines Using a Recyclable Phosphine-Free Chiral Cationic Ruthenium Catalyst: Enhancement of Catalyst Stability and Selectivity in an Ionic Liquid", Angew. Chem. Int. Ed. 2008, 47, 8464-8467.

38. Yong Li, Yu Feng, Yan-Mei He, Fei Chen, Jie Pan and Qing-Hua Fan,* "Supramolecular Chiral Phosphorous Ligands Based on A [2]Pseudorotaxane Complex for Asymmetric Hydrogenation", Tetrahedron Lett. 2008, 49, 2878-2881.

37. Feng Zhang, Yong Li, Zhi-Wei Li, Yan-Mei He, Shou-Fei Zhu, Qing-Hua Fan* and Qi-Lin Zhou,* "Modular Chiral Dendritic Monodentate Phosphoramidite Ligands for Rh(II)-Catalyzed Asymmetric Hydrogenation: Unprecedented Enhancement of Enantioselectivity", Chem. Commun. 2008, 6048-6050.

36. Lei Wu, Zhi-Wei Li, Feng Zhang, Yan-Mei He and Qing-Hua Fan,* "Air-Stable and Highly Active Dendritic Phosphine Oxide-Stabilized Palladium Nanoparticles: Preparation, Characterization and Applications in the Carbon-Carbon Bond Formation and Hydrogenation Reactions", Adv. Synth. Catal. 2008, 350, 846-862. <Highlight by Synfacts 2008, 8, 882.>

2007年
35. Yu Feng, Yan-Mei He, Li-Wen Zhao, Yi-Yong Huang and Qing-Hua Fan,* "A Liquid-Phase Approach to Functionalized Janus Dendrimers: Novel Soluble Supports for Organic Synthesis", Org. Lett. 2007, 9, 2261-2264.

34. Zhi-Jian Wang, Guo-Jun Deng, Yong Li, Yan-Mei He, Wei-Jun Tang and Qing-Hua Fan,* "Enantioselective Hydrogenation of Quinolines Catalyzed by Ir(BINAP)-Cored Dendrimers: Dramatic Enhancement of Catalytic Activity" Org. Lett. 2007, 9, 1243-1246.

33. HaifengZhou, Qing-Hua Fan,* Yanmei He, Lianquan Gu* and Albert S. C. Chan,*"Application of Liquid Poly( Ethylene Glycol)s as Green Reaction Media in Organic Reactions", Prog. Chem. 2007, 19, 1517-1528.
32. Sau Hing Chan, Kim Hung Lam,* Yue-Ming Li, Lijin Xu, Weijun Tang, Fuk Loi Lam, Wai Hung Lo, Wing Yiu Yu, Qing-Hua Fan* and Albert S. C. Chan,* "Asymmetric Hydrogenation of Quinolines with Recyclable and Air-Stable Iridium Catalyst Systems", Tetrahedron: Asymmetry 2007, 18, 2625-2631.

31. Hai-Feng Zhou, Qing-Hua Fan,* Yi-Yong Huang, Lei Wu, Yan-Mei He, Wei-Jun Tang, Lian-Quan Gu* and Albert S. C. Chan,* "Mixture of Poly(Ethylene Glycol) and Water as Environmentally Friendly Media for Efficient Enantioselective Transfer Hydrogenation and Catalyst Recycling", J. Mol. Catal. A: Chem. 2007, 275, 47-53.

30. Lijin Xu, Kim Hung Lam, Jiwu Ruan, Qing-Hua Fan and Albert S. C. Chan, "Ruthenium Catalyzed Asymmetric Hydrogenation of α- and β-Ketoesters in Room Temperature Ionic Liquids Using Chiral P-Phos Ligand", ACS Symposium Series 2007, 950, 224-234.
2006年
29. Liwen Zhao, Qing-Hua Fan,* Haifeng Zhou, Yanmei He, Lianquan Gu* and Albert S. C. Chan,* "Study of Dendrimers as Supports for Organic Synthesis", Prog. Chem. 2006, 18, 317-330.
23. Wei-Jun Tang, Yi-Yong Huang, Yan-Mei He and Qing-Hua Fan,* "Dendritic MonoPhos: Synthesis and Application in Rh-Catalyzed Asymmetric Hydrogenation", Tetrahedron: Asymmetry 2006, 17, 536-543.

28. Guo-Jun Deng, Guo-Rui Li, Ling-Yun Zhu, Hai-Feng Zhou,Yan-Mei He, Qing-Hua Fan* and Zhi-Gang Shuai,* "Dendritic BIPHEP: Synthesis and Application in Asymmetric Hydrogenation of β-Ketoesters", J. Mol. Catal. A: Chem. 2006, 244, 118-123.

27. Lei Wu, Bao-Lin Li, Yi-Yong Huang, Hai-Feng Zhou, Yan-Mei He and Qing-Hua Fan,* "Phosphine Dendrimer-Stabilized Palladium Nanoparticles, a Highly Active and Recyclable Catalyst for the Suzuki-Miyaura Reaction and Hydrogenation", Org. Lett. 2006, 8, 3605-3608. <Highlight by Synfacts 2006, 11, 1185.>

26. Yi-Yong Huang, Yan-Mei He, Hai-Feng Zhou, Lei Wu, Bao-Lin Li and Qing-Hua Fan,* "Thermomorphic System with Non-Fluorous Phase-Tagged Ru(BINAP) Catalyst: Facile Liquid/Solid Catalyst Separation and Application in Asymmetric Hydrogenation", J. Org. Chem. 2006, 71, 2874-2877.

25. Hai-Feng Zhou, Qing-Hua Fan,* Wei-Jun Tang, Li-Jin Xu, Yan-Mei He, Guo-Jun Deng, Li-Wen Zhao, Lian-Quan Gu* and Albert S. C. Chan,* "Polyethylene Glycol as an Environmentally Friendly and Recyclable Reaction Medium for Enantioselective Hydrogenation", Adv. Synth. Catal. 2006, 348, 2172-2182.

2005年
24. Yi-Yong Huang, Hai-Liang Zhang, Guo-Jun Deng, Wei-Jun Tang, Xia-Yu Wang,* Yan-Mei He and Qing-Hua Fan,* "Synthesis of Triphenylphosphine-Functionalized Dendrimers and Application to Olefin Hydroformylation", J. Mol. Catal. A: Chem. 2005, 227, 91-96.

23. Nian-Fa Yang,* Hang Gong, Wei-Jun Tang, Qing-Hua Fan, Chang-Qun Cai and Li-Wen Yang, "Phase Selectively Soluble Dendritic Derivative of 4-(N,N-Dimethylamino)Pyridine: An Easily Recyclable Catalyst for Baylis-Hillman Reactions", J. Mol. Catal. A: Chem. 2005, 233, 55-59.

22. Hang Gong, Nian-Fa Yang,* Wei-Jun Tang, Qing-Hua Fan and Li-Wen Yang, "Phase Selectively Soluble Dendritic Derivative of 4-(Dimethylamino)Pyridine: An Easily Recyclable Catalyst for Baylis-Hillman Reactions", Chinese Chem. Lett. 2005, 16, 1017-1020.
21. Weiguo Liu, Xin Cui, Linfeng Cun, Jun Wu, Jin Zhu, Jingen Deng* and Qing-Hua Fan, "Novel Dendritic Ligands of Chiral 1,2-Diamine and Their Application in Asymmetric Hydrogenation of Simple Aryl Ketones", Synlett 2005, 1591-1595.
20. Kim Hung Lam, Lijin Xu, Lichun Feng, Jiwu Ruan, Qing-Hua Fan and Albert S. C. Chan,* "Ruthenium Catalyzed Asymmetric Hydrogenation of α- and β-keto Esters in Ionic Liquids Using Chiral P-Phos Ligand", Can. J. Chem. 2005, 83, 903-908.
19. Lijin Xu, Kim Hung Lam, Jianxin Ji, Jing Wu, Qing-Hua Fan,* Wai-Hung Lo and Albert S. C. Chan,* "Air-Stable Ir-(P-Phos) Complex for Highly Enantioselective Hydrogenation of Quinolines and Their Immobilization in Poly(Ethyleneglycol) Dimethyl Ether (DMPEG)", Chem. Commun. 2005, 1390-1392. <Highlight by Synfacts 2005, 0, 37.>

2004年
18. Dai-Hua Tang, Xiao-Min Chen and Qing-Hua Fan,* "A Convenient Route to Dendritic Binaphthyl-Containing Chiral Crown Ethers", J. Chem. Res. 2004, 702-703.
17. Wei-Jun Tang, Nian-Fa Yang,* Bing Yi, Guo-Jun Deng, Yi-Yong Huang and Qing-Hua Fan,* "Phase Selectively Soluble Dendrimer-Bound Osmium Complex: A Highly Effective and Easily Recyclable Catalyst for Olefin Dihydroxylation", Chem. Commun. 2004, 1378-1379.

16. Guo-Jun Deng, Bing Yi, Yi-Yong Huang, Wei-Jun Tang, Yan-Mei He and Qing-Hua Fan,* "Dendronized Poly(Ru-BINAP) Complexes: Highly Effective and Easily Recyclable Catalysts for Asymmetric Hydrogenation", Adv. Synth. Catal. 2004, 346, 1440-1444.
15. Bing Yi, Qing-Hua Fan,* Guo-Jun Deng, Yue-Ming Li, Li-Qin Qiu and Albert S. C. Chan,* "Novel Chiral Dendritic Diphosphine Ligands for Rh(I)-Catalyzed Asymmetric Hydrogenation: Remarkable Structural Effects on Catalytic Properties", Org. Lett. 2004, 6, 1361-1364.

2003年
14. Guo-Hua Liu and Qing-Hua Fan,* Xi-Qiang Yang and Xiao-Min Chen, "Chiral BINOL-Centered Dendrimers for The Enantioselective Lewis Acid Catalyzed Diethylzinc Addition to Aldehydes", Arkivoc 2003, 123-132.
13. Dai-Hua Tang and Qing-Hua Fan,* "Convergent Synthesis of AB2-AB3 Hybrid-Type of Amphiphilic Oligoethyleneoxy-Modified Poly(Benzyl Ether) Dendrons", J. Chem. Res. 2003, 698-699.
12. Qing-Hua Fan, Xi-Qiang Yang, Guo-Hua Liu, Xiao-Min Chen and Albert S. C. Chan, "Synthesis of New Dendritic Chiral BINOL Ligands and Their Applications in Enantioselective Lewis Acid Catalyzed Addition of Diethylzinc to Aldehydes", Chem. J. Chinese. Univ. 2003, 274-277.
11. Guo-Jun Deng, Qing-Hua Fan,* Xiao-Min Chen and Guo-Hua Liu, "Dendritic BINAP Based System for Asymmetric Hydrogenation of Simple Aryl Ketones", J. Mol. Catal. A: Chem. 2003, 193, 21-25.
10. Bai-Yuan Yang, Xiao-Min Chen,* Guo-Jun Deng, Yi-Li Zhang and Qing-Hua Fan,* "Chiral Dendritic Bis(Oxazoline) Copper(II) Complexes as Lewis Acid Catalysts for Enantioselective Aldol Reactions in Aqueous Media", Tetrahedron Lett. 2003, 44, 3535-3538.
9. Guo-Hua Liu, Wei-Jun Tang and Qing-Hua Fan,* "Dendritic BINOL Ligands for Asymmetric Aatalysis: Effect of the Linking Positions and Generations of the Dendritic Wedges on Catalyst Properties", Tetrahedron 2003, 59, 8603-8611.
2002年
8. Qing-Hua Fan,* Rui Zhang, Guo-Jun Deng and Xiao-Min Chen, "The Synthesis of Amphiphilic Chiral Dendritic 1,1'-Bi-2-Naphthol Derivatives and Their Application as Amphiphiles in Aqueous Asymmetric Hydrogenation", J. Chem. Res. 2002, 318-320.
7. Guo-Jun Deng, Qing-Hua Fan,* Xiao-Min Chen, Dong-Shen Liu and Albert S. C. Chan, "A Novel System Consisting of Dendritic Ru-BINAP for Asymmetric Hydrogenation and Catalyst Recycling", Chem. Commun. 2002, 1570-1571.
6. Qing-Hua Fan, Yue-Ming Li* and Albert S. C. Chan,* "Recoverable Catalysts for Asymmetric Organic Synthesis", Chem. Rev. 2002, 102, 3385-3466.
2001年
5. Qing-Hua Fan,* Guo-Hua Liu, Xiao-Min Chen, Guo-Jun Deng and Albert S. C. Chan,* "The Synthesis of Dendritic BINOL Ligands and Their Applications in Enantioselective Lewis Acid Catalyzed Addition of Diethylzinc to Aldehydes", Tetrahedron: Asymmetry 2001, 12, 1559-1565.

4. Qing-Hua Fan,* Guo-Jun Deng, Chi-Ching Lin and Albert S. C. Chan,* "Preparation and Use of Meo-PEG-Supported Chiral Diphosphine Ligands: Soluble Polymer-Supported Catalyst for Asymmetric Hydrogenation", Tetrahedron: Asymmetry 2001, 12, 1241-1247.

2000年
3. Qing-Hua Fan,* Yong-Ming Chen, Xiao-Min Chen, Da-Zhi Jiang, Fu Xi and Albert S. C. Chan,* "Highly Effective and Recyclable Dendritic BINAP Ligands for Asymmetric Hydrogenation", Chem. Commun. 2000, 789-790.
2. Qing-Hua Fan,* Guojun Deng, Xiaomin Chen, Wenchun Xie, Dazhi Jiang, Dongsheng Liu and Albert S. C. Chan,* "A Highly Effective Water-soluble Polymer-supported Catalyst for the Two-phase Asymmetric Hydrogenation: Preparation and Use of a PEG-bound BINAP Ligand", J. Mol. Catal. A: Chem. 2000, 159, 37-43.
1999年
1. Qing-Hua Fan, Chang-Yu Ren, Chi-Hung Yeung, Wen-Hao Hu and Albert S. C. Chan,* "Highly Effective Soluble Polymer-Supported Catalyst for Asymmetric Hydrogenation", J. Am. Chem. Soc. 1999, 121, 7407-7408.
