手性二胺金属配合物催化亚胺和芳杂环的不对称氢化
手性二胺金属配合物催化亚胺和芳香杂的不对称氢化
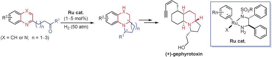
过渡金属催化芳香杂环化合物和亚胺的不对称氢化是获得手性杂环化合物和手性胺的最简单高效的方法之一。但由于含氮化合物对催化剂的潜在毒化作用,亚胺化合物的不稳定性及多种异构体的存在,以及芳香杂环化合物的共轭稳定性等不利因素,因此,亚胺类化合物特别是含氮芳香杂环化合物的高效不对称氢化依然十分困难。现有的催化剂体系均为含磷配体催化剂,而含磷催化剂一般具有合成困难、价格昂贵、对水和空气敏感、底物范围有限等缺点。为解决上述问题,我们小组基于离子型外层催化机理及抗衡阴离子效应发展高效、稳定的离子型手性金属二胺催化剂,实现了系列亚胺包括开链和环状N-烷基亚胺,以及喹啉、喹喔啉和邻菲啰啉等含氮芳香杂环化合物的高效、高立体选择性不对称氢化。


Figure. Asymmetric Hydrogenation of Imines and Heteroaromatic Compounds
发表论文
37. Chenghao Li,‡ Shuxin Zhang,‡ Shan Li, Yu Feng * and Qing-Hua Fan,* "Ruthenium-catalyzed enantioselective hydrogenation of quinoxalinones and quinazolinones", Org. Chem. Front. 2022, 9, 400–406.

36. Shu-Xin Zhang, Cong Xu, Niannian Yi, Shan Li, Yan-Mei He, Yu Feng,* and Qing-Hua Fan,* "Ruthenium-Catalyzed Enantioselective Hydrogenation of 9-Phenanthrols", Angew. Chem. Int. Ed. 2022, 61, e202205739.

35. Chenghao Li,§ Yixiao Pan,§ Yu Feng,* Yan-Mei He, Youran Liu, and Qing-Hua Fan,* "Asymmetric Ruthenium-Catalyzed Hydrogenation of Terpyridine Type N‑Heteroarenes: Direct Access to Chiral Tridentate Nitrogen Ligands", Org. Lett. 2020, 22, 6452−6457.

34. Li-Ren Wang, Dan Chang, Yu Feng,* Yan-Mei He, Guo-Jun Deng,* and Qing-Hua Fan*, "Highly Enantioselective Ruthenium-Catalyzed Cascade Double Reduction Strategy: Construction of Structurally Diverse Julolidines and Their Analogues", Org. Lett. 2020, 22, 2251−2255.

33. Shanshan Zhang, Fei Chen,* Yan-Mei He, and Qing-Hua Fan,* "Asymmetric Hydrogenation of Dibenzo[c,e]azepine Derivatives with Chiral Cationic Ruthenium Diamine Catalysts", Org. Lett. 2019, 21, 5538−5541.

32. Ya Chen, Yixiao Pan, Yan-Mei He,* and Qing-Hua Fan,* "Consecutive Intermolecular Reductive Amination/Asymmetric Hydrogenation: Facile Access to Sterically Tunable Chiral Vicinal Diamines and N-Heterocyclic Carbenes", Angew. Chem. Int. Ed. 2019, 58, 16831–16834.

31. Youran Liu, Fei Chen, Yan-Mei He, Chenghao Li, and Qing-Hua Fan,* "Enantioselective synthesis of tunable chiral pyridine–aminophosphine ligands and their applications in asymmetric hydrogenation", Org. Biomol. Chem. 2019, 17, 5099–5105.

30. Cong Xu, Yu Feng, Faju Li, Jiahong Han, Yan-Mei He, and Qing-Hua Fan,* "A Synthetic Route to Chiral Benzo-Fused N‑Heterocycles via Sequential Intramolecular Hydroamination and Asymmetric Hydrogenation of Anilino-Alkynes", Organometallic DOI: 10.1021/acs.organomet.9b00183.

29. Ya Chen, Yan-Mei He, Shanshan Zhang, Tingting Miao, and Qing-Hua Fan,* "Rapid Construction of Structurally Diverse Quinolizidines, Indolizidines, and Their Analogues via Ruthenium-Catalyzed Asymmetric Cascade Hydrogenation/Reductive Amination", Angew. Chem. Int. Ed. 2019, 58, 3809 –3813.

28. Bin Li, Cong Xu, Yan-Mei He, Guo-Jun Deng, and Qing-Hua Fan,* "Asymmetric Hydrogenation of Bis(quinolin-2-yl)methanes: A Direct Access to Chiral 1,3-Diamines", Chin. J. Chem. 2018, 36, 1169-1173.

27. Tingting Miao, Zi-You Tian, Yan-Mei He, Fei Chen, Ya Chen, Zhi-Xiang Yu,* and Qing-Hua Fan,* "Asymmetric Hydrogenation of In Situ Generated Isochromenylium Intermediates by Copper/Ruthenium Tandem Catalysis", Angew. Chem. Int. Ed. 2017, 56, 4135–4139.

26. Zhusheng Yang, Ziyuan Ding, Fei Chen,* Yan-Mei He, Nianfa Yang,* and Qing-Hua Fan,* "Asymmetric Hydrogenation of Cyclic Imines of Benzoazepines and Benzodiazepines with Chiral, Cationic Ruthenium–Diamine Catalysts", Eur. J. Org. Chem. 2017, 1973–1977.

25. Zhusheng Yang, Fei Chen,* Shuxin Zhang, Yanmei He, Nianfa Yang,* and Qing-Hua Fan,* "Ruthenium-Catalyzed Enantioselective Hydrogenation of Phenanthridine Derivatives", Org. Lett. 2017, 19, 1458−1461.

24. Tianli Wang, Ya Chen, Guanghui Ouyang, Yan-Mei He,* ZhiyanLi and Qing-Hua Fan,* "Solvent-Regulated Asymmetric Hydrogenation of Quinoline Derivatives in Oligo(Ethylene Glycol)s through Host–Guest Interactions", Chem.Asian J. 2016, 11, 2773–2777.

23. Zhusheng Yang, Fei Chen,* Yanmei He, Nianfa Yang and Qing-Hua Fan,* "Highly Enantioselective Synthesis of Indolines: Asymmetric Hydrogenation at Ambient Temperature and Pressure with Cationic Ruthenium Diamine Catalysts", Angew. Chem. Int. Ed. 2016, 55,13863–13866.

22. Wenpeng Ma, Jianwei Zhang, Cong Xu, Fei Chen, Yan-Mei He and Qing-Hua Fan,* "Highly Enantioselective Direct Synthesis of Endocyclic Vicinal Diamines through Chiral Ru(diamine)-Catalyzed Hydrogenation of 2,2'-Bisquinoline Derivatives" Angew. Chem. Int. Ed. 2016, 55, 12891-12894.

21. Wenpeng Ma, Fei Chen, Youran Liu, Yan-Mei He, and Qing-Hua Fan,* "Ruthenium-Catalyzed Enantioselective Hydrogenation of 1,8-Naphthyridine Derivatives" Org. Lett. 2016, 18, 2730–2733.

20. Yan-Mei He, Qing-Hua Fan,* "Advances in Transfer Hydrogenation of Carbonyl Compounds in Water", ChemCatChem 2015, 7, 398-400.

19. Jianwei Zhang, Fei Chen, Yan-Mei He, Qing-Hua Fan,* "Asymmetric Ruthenium-Catalyzed Hydrogenation of 2,6-Disubstituted 1,5-Naphthyridines: Access to Chiral 1,5-Diaza-cis-Decalins", Angew. Chem. Int. Ed. 2015, 54, 4622-4625.

18. Fei Chen, Zi-Yuan Ding, Yan-Mei He, Qing-Hua Fan,* "Synthesis of Optically Active 1,2,3,4-Tetrahydroquinolines viaAsymmetric Hydrogenation Using Iridium-Diamine Catalyst", Org. Synth. 2015, 92, 213-226.

17. Zhusheng Yang, Fei Chen,* Yan-Mei He, Nianfa Yang,* Qing-Hua Fan,* "Efficient asymmetric hydrogenation of quinolines in neat water catalyzed by chiral cationic Ru-diamine complexes", Catal. Sci. Technol. 2014, 4, 2887-2890.

16. Jie Qin, Fei Chen, Yan-Mei He, Qing-Hua Fan,* "Asymmetric hydrogenation of 3-substituted 2H-1,4-benzoxazines with chiral cationic Ru-MsDPEN catalysts: remarkable counteranion effect", Org. Chem. Front. 2014, 1, 952-955.

15. Yong Li, Yanmei He, Fei Chen, Qinghua Fan,* "Asymmetric Hydrogenation of 2-Aryl-5,6-dihydropyrazine Derivatives with Chiral Cationic Ruthenium Diamine Catalysts", Chin. J. Chem. 2014, 32, 991-994.

14. Zi-Yuan Ding, Tianli Wang, Yan-Mei He, Fei Chen, Hai-Feng Zhou, Qing-Hua Fan,* Qingxiang Guo,* and Albert S. C. Chan, "Highly Enantioselective Synthesis of Chiral Tetrahydroquinolines and Tetrahydroisoquinolines by Ruthenium-Catalyzed Asymmetric Hydrogenation in Ionic Liquid", Adv. Synth. Catal. 2013, 355, 3727-3735.

13. Tianli Wang, Fei Chen, Jie Qin, Yan-Mei He and Qing-Hua Fan,* "Asymmetric Ruthenium-Catalyzed Hydrogenation of 2- and 2,9-Substituted 1,10-Phenanthrolines", Angew. Chem. Int. Ed. 2013, 52, 7172-7176.

12. Fei Chen, Ziyuan Ding, Yanmei He, Jie Qin, Tianli Wang and Qing-Hua Fan,* "Asymmetric Hydrogenation of N-Alkyl and N-Aryl Ketimines using Chiral CationicRu(Diamine) Complexes as Catalysts: The Counteranion and Solvent Effects, and Substrate Scope", Tetrahedron 2012, 68, 5248-5257.

11. Zi-Yuan Ding, Fei Chen, Jie Qin, Yan-Mei He and Qing-Hua Fan,* "Asymmetric Hydrogenation of 2,4-Disubstituted 1,5-Benzodiazepines Using Cationic Ruthenium Diamine Catalysts: An Unusual Achiral Counteranion Induced Reversal of Enantioselectivity", Angew. Chem. Int. Ed. 2012, 51, 5706-5710.

10. Jie Qin, Fei Chen, Ziyuan Ding, Yan-Mei He, Lijin Xu and Qing-Hua Fan,* "Asymmetric Hydrogenation of 2- and 2,3-Substituted Quinoxalines with Chiral Cationic Ruthenium Diamine Catalysts", Org. Lett. 2011, 13, 6568-6571. <Highlight by Synfacts 2012, 8, 191.>

9. Fei Chen, Ziyuan Ding, Jie Qin, Tianli Wang, Yanmei He and Qing-Hua Fan,* "Highly Effective Asymmetric Hydrogenation of Cyclic N-Alkyl Imines with Chiral Cationic Ru-MsDPEN Catalysts", Org. Lett, 2011, 13, 4348-4351. <Highlight by Synfacts 2011, 10, 1092.>

8. Tianli Wang, Lian-Gang Zhuo, Zhiwei Li, Fei Chen, Ziyuan Ding, Yanmei He, Qing-Hua Fan,* Junfeng Xiang, Zhi-Xiang Yu* and Albert S. C. Chan, "Highly Enantioselective Hydrogenation of Quinolines Using Phosphine-Free Chiral Cationic Ruthenium Catalysts: Scope, Mechanism, and Origin of Enantioselectivity", J. Am. Chem. Soc. 2011, 133, 9878-9891.

7. Tianli Wang, Guanghui Ouyang, Yan-Mei He and Qing-Hua Fan,* "Asymmetric Tandem Reduction of 2-(Aroylmethyl)quinolines with Phosphine-Free Ru-TsDPEN Catalyst", Synlett 2011, 7, 939-942.

6. Fei Chen, Tianli Wang, Yanmei He, Ziyuan Ding, Zhiwei Li, Lijin Xu and Qing-Hua Fan,* "Asymmetric Hydrogenation of N-Alkyl Ketimines with Phosphine-Free, Chiral, Cationic Ru-MsDPEN Catalysts", Chem. Eur. J. 2011, 17, 1109-1113. <Highlight by Synfacts 2011, 4, 420.>

5. Fei Chen, Zhiwei Li, Yanmei He and Qing-Hua Fan,* "Asymmetric Hydrogenation of Cyclic N-Sulfonylimines with Phosphine-Free Chiral Cationic Ru-MsDPEN Catalysts", Chin. J. Chem. 2010, 28, 1529-1532.

4. Yan-Mei He and Qing-Hua Fan,* "Phosphine-Free Chiral Metal Catalysts for Highly Effective Asymmetric Catalytic Hydrogenation", Org. Biomol. Chem. 2010, 8, 2497-2504.

3. Zhi-Jian Wang, Hai-Feng Zhou, Tian-Li Wang, Yan-Mei He and Qing-Hua Fan,* "Highly Enantioselective Hydrogenation of Quinolines under Solvent-Free or Highly Concentrated Conditions", Green Chem. 2009, 11, 767-769.

2. Zhi-Wei Li, Tian-Li Wang, Yan-Mei He, Zhi-Jian Wang, Qing-Hua Fan,* Jie Pan and Li-Jin Xu,* "Air-Stable and Phosphine-Free Iridium Catalysts for Highly Enantioselective Hydrogenation of Quinoline Derivatives", Org. Lett. 2008, 10, 5265-5268. <Highlight by Synfacts 2009, 2, 174.>

1. Haifeng Zhou, Zhiwei Li, Zhijian Wang, Tianli Wang, Lijin Xu, Yanmei He, Qing-Hua Fan,* Jie Pan, Lianquan Gu and Albert S. C. Chan,* "Hydrogenation of Quinolines Using a Recyclable Phosphine-Free Chiral Cationic Ruthenium Catalyst: Enhancement of Catalyst Stability and Selectivity in an Ionic Liquid", Angew. Chem. Int. Ed. 2008, 47, 8464-8467.
